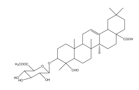
絲石竹皂苷元-3-O-β-D-葡萄糖醛酸甲酯對照品
批號:111956-201301
結(jié)構(gòu)式:

分子式:C37H56O10
分子量:660
用途:絲石竹皂苷元-3-O-β-D-葡萄糖醛酸甲酯對照品(gypsogenin-3-O-β-D-glucuronide methyl ester)系供中國藥典 2010 版一部第一增補(bǔ)本木鱉子項(xiàng)下鑒別和含量測定用。含量以 97.5%計。
包裝及裝量:棕色安瓿瓶,約 20mg/支。
類別:中檢所
保存條件:干燥避光。
注意事項(xiàng):本品具有引濕性,打開后一次性使用完畢。使用前無需處理。
|